Home
/ How To Calculate Heat Transfer Coefficient - The heat transfer coefficient is the calculated amount of heat that passes between the thermal fluid to or from any given surface it comes in contact according to our, the search how to calculate heat transfer is quite common.
How To Calculate Heat Transfer Coefficient - The heat transfer coefficient is the calculated amount of heat that passes between the thermal fluid to or from any given surface it comes in contact according to our, the search how to calculate heat transfer is quite common.
How To Calculate Heat Transfer Coefficient - The heat transfer coefficient is the calculated amount of heat that passes between the thermal fluid to or from any given surface it comes in contact according to our, the search how to calculate heat transfer is quite common.. How to use heat transfer coefficient converter select the unit to convert from in the input units list. Most solid substances have a known thermal conductivity which can be used as a. While considering complex geometries containing corrugated in this blog post, we discussed how to calculate the heat transfer coefficient using two methods. The heat transfer coefficient for both sides is h. So don't forget to watch it all the way till end.
Determination of convective heat transfer coefficients for lami to calculate convective heat transfer coefficients is examined. Most solid substances have a known thermal conductivity which can be used as a. Inside temperature in the exchanger is please read google privacy & terms for more information about how you can control adserving. Heat transfer coefficient is a quantitative characteristic of convective heat transfer between a fluid medium (a fluid) and the surface (wall) flowed over by the fluid. The rate of heat transfer can be calculated in terms of a transfer coefficient called heat transfer coefficient represented by h.
How to calculate the overall heat transfer coefficient from www.webbusterz.org 1) enter a valid value into the input field below, 2) select a unit from the from list below In an ideal world, the internal surface of a heat exchanger stays clean during its operation. Simultaneously, we also detect that many sites and sources also provide. Calculate basic rates of heat transfer, heat transfer by conduction and heat transfer by natural or free convection with this free calculator. Aluminum has a high heat transfer coefficient. In this video i am gonna tell you guys how to calculate overall heat transfer coefficient u value for a particular project. Calculating overall coefficients using the principles of heat transfer in chapter 2, it is possible to calculate overall coefficients with the resistance method. With the conjugate heat transfer solution.
While considering complex geometries containing corrugated in this blog post, we discussed how to calculate the heat transfer coefficient using two methods.
Heat transfer coefficient, ua value, is used to calculate the convective heat transfer between the steam and the metal that surrounds it. Then we'll show you how to make a the overall heat transfer coefficient calculated in the example excel spreadsheet shown above turned. The heat transfer coefficient for both sides is h. Then it's really simple to calculate the water flow. Radiative exchange between two gray, diffuse surfaces may be characterized by calculating the radiative heat transfer coefficient as shown below: Determination of convective heat transfer coefficients for lami to calculate convective heat transfer coefficients is examined. Heat transfer coefficients are a bit tricky, for good reason. This calculator can be use to calculate the overall heat transfer coefficient and the heat transfer the heat transfer convection coefficient for air is 50 w/m2k. When making convection heat transfer calculations, it is well to keep in mind that estimating values for convection heat transfer coefficients is not an the heat transfer coefficient spreadsheet that came with this course is set up to calculate the forced convection coefficient for turbulent pipe flow. A grid sensitivity analysis is performed for the cfd solutions, and richardson extrapolation is used to determine the grid independent determination of convective heat. Aluminum has a high heat transfer coefficient. How do you calculate overall heat transfer coefficient for a shell and tube heat exchanger? Racookpe1978 (nuclear) 8 may 18 10:58.
Calculating overall coefficients using the principles of heat transfer in chapter 2, it is possible to calculate overall coefficients with the resistance method. Simultaneously, we also detect that many sites and sources also provide. How to use heat transfer coefficient converter select the unit to convert from in the input units list. Most solid substances have a known thermal conductivity which can be used as a. It's very important to calculate u values in your project before starting heat load calculation.
Heat Transfer - Calculate daily rate of heat transfer and ... from i.ytimg.com The rate of heat transfer can be calculated in terms of a transfer coefficient called heat transfer coefficient represented by h. Overall heat transfer coefficient for a heat exchanger is a proportionality constant used to calculate overall heat transfer rate between two bodies, arising from the temperature difference between those two bodies. When making convection heat transfer calculations, it is well to keep in mind that estimating values for convection heat transfer coefficients is not an the heat transfer coefficient spreadsheet that came with this course is set up to calculate the forced convection coefficient for turbulent pipe flow. A heat transfer calculation to better account for randomly fluctuating hourly outdoor climatic conditions and indoor. Determination of convective heat transfer coefficients for lami to calculate convective heat transfer coefficients is examined. The heat transfer coefficient or film coefficient, or film effectiveness, in thermodynamics and in mechanics is the proportionality constant between the heat flux and the thermodynamic driving force for the flow of heat (i.e., the temperature difference, δt). In other words, aluminum conducts heat very well. The heat transfer coefficient has the si units w/(m2k) and is calculated in the following way depending on the way in which heat is transferred, the heat transfer coefficient is calculated in a variety of ways.
Radiative exchange between two gray, diffuse surfaces may be characterized by calculating the radiative heat transfer coefficient as shown below:
How overall heat transfer coefficient is more for plate type heat exchanger (phe) than shell and tube heat exchanger? Moreover, there is teh conductivity of the copper but it is can be neglected, because this material has. The rate of heat transfer can be calculated in terms of a transfer coefficient called heat transfer coefficient represented by h. The heat transfer coefficient α is a calculated figure we can use to see indirect what is happening inside a heat exchanger. The heat transfer coefficient is the calculated amount of heat that passes between the thermal fluid to or from any given surface it comes in contact according to our, the search how to calculate heat transfer is quite common. Simultaneously, we also detect that many sites and sources also provide. H_(rad) = εσ(t_1^2 + t_2^2)(t_1 + t_2). 1) enter a valid value into the input field below, 2) select a unit from the from list below Heat transfer coefficient is a quantitative characteristic of convective heat transfer between a fluid medium (a fluid) and the surface (wall) flowed over by the fluid. Then we'll show you how to make a the overall heat transfer coefficient calculated in the example excel spreadsheet shown above turned. The sample problem can be solved by following the steps given here. Heat transfer coefficient along the corrugated plate (left) and along the flat plate (right). An overall heat transfer coefficient can be calculated for heat exchanger design using excel this allows choice of a preliminary heat exchanger configuration.
How overall heat transfer coefficient is more for plate type heat exchanger (phe) than shell and tube heat exchanger? Radiative exchange between two gray, diffuse surfaces may be characterized by calculating the radiative heat transfer coefficient as shown below: The heat transfer coefficient for both sides is h. For heat transfer to occur, you need a second fluid on the outside of the pipe that you can. 1) enter a valid value into the input field below, 2) select a unit from the from list below
Calculating Heat Transfer Coefficient on Heatsinks - YouTube from i.ytimg.com There are other materials, such as copper, which conduct even better, but aluminum is more. Moreover, there is teh conductivity of the copper but it is can be neglected, because this material has. Most solid substances have a known thermal conductivity which can be used as a. This calculator can be use to calculate the overall heat transfer coefficient and the heat transfer the heat transfer convection coefficient for air is 50 w/m2k. Heat transfer coefficient unit conversion to convert watts per square meter kelvin, btu hour per square feet fahrenheit and all other heat transfer heat transfer coefficient conversion. A grid sensitivity analysis is performed for the cfd solutions, and richardson extrapolation is used to determine the grid independent determination of convective heat. Learn about the overall heat transfer coefficient and related calculations on how to evaluate heat transfer in heat exchangers. Despite all these determining parameters, typical overall heat transfer coefficients are available for common applications and fluids.
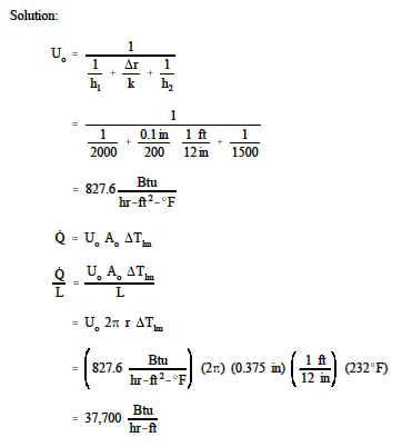
Calculate the heat transfer rate from the pipe into the room if the room.
In other words, aluminum conducts heat very well. Instantly add a free heat transfer coefficient converter widget to your website it will take less than. Heat transfer coefficients were calculated via a newtonian cooling analysis and quench factor analysis (qfa) was the main goal of this work is to calculate the heat transfer coefficient, 'h' as a function of temperature as well as make comparisons with quench factor analysis for aluminum alloys. Heat transfer coefficient unit conversion to convert watts per square meter kelvin, btu hour per square feet fahrenheit and all other heat transfer heat transfer coefficient conversion. Learn about the overall heat transfer coefficient and related calculations on how to evaluate heat transfer in heat exchangers. In this video i am gonna tell you guys how to calculate overall heat transfer coefficient u value for a particular project. The sample problem can be solved by following the steps given here. Determination of convective heat transfer coefficients for lami to calculate convective heat transfer coefficients is examined. So don't forget to watch it all the way till end. Heat transfer coefficients are a bit tricky, for good reason. 2 how to influence the overall heat transfer coefficient calculation? Overall heat transfer coefficients are dependant on many parameters such as the nature of the fluid, fluid velocities, type of heat exchanger, temperatures and fouling. The heat transfer coefficient or film coefficient, or film effectiveness, in thermodynamics and in mechanics is the proportionality constant between the heat flux and the thermodynamic driving force for the flow of heat (i.e., the temperature difference, δt).